LOGO OA教程 ERP教程 模切知识交流 PMS教程 CRM教程 开发文档 其他文档  
 
网站管理员

烧脑,为什么物体运动不能超过光速?

admin
2016年12月17日 16:43 本文热度 9700


一. 光速不变的历史背景

其实早在19世纪末的时候,物理学家就已经察觉到一些光速的不寻常了。光速的异常第一次出现在电磁波里面。当时英国物理学家麦克斯韦刚刚提出著名的麦克斯韦方程组,统一了电磁学。人们很快发现,根据麦克斯韦方程组的预言,光速在任何参考系中似乎都应该是一个常数和光源,和观察者的速度都无关。这句话的意思是说,我手拿一只电筒,我看到电筒放出的光以光速往前运动。这很自然。不过如果我坐上一个0.5倍光速向前运动的火箭,我看到电筒的光还是以光速向前运动,而且没有上火箭、静止着站在地面的其他观察者看到的光也是以光速向前运动,这就实在是太奇怪了。

二. 实验与两大基本假设

在电磁学理论刚出来的时候,物理学家们对光速不变这样的推论其实是拒绝的。这太违反直觉了,一定是电磁学理论在什么地方出了问题。然而经过了很长时间的摸索和修改,光速不变的这朵乌云不但没有从物理学的理论框架中消失,反而变得越来越强烈和明显,想忽略都不行。

在1887年,两位实验物理学家,迈克尔逊和莫雷尝试通过迈克尔逊干涉仪来测出光速相对于地球公转速度的变化。

然而实验事实却以很高的精度告诉他们,尽管地球的公转速度一直在不断改变,但在地球上测到的光速却是时时刻刻都是一样的。这就意味着光速真的跟地球参考系的公转速度没有任何关系。

图一: 迈克尔逊莫雷实验原理图

迈克尔逊-莫雷实验非常强有力地表明了光速就是自然界里的一个非常特殊的速度,好吧,既然实验没有办法否定它,人们只好学习如何去理解并接受这一事实。到了1905年,瑞士专利局的一个年轻人,阿尔伯特·爱因斯坦决定正式承认光速不变这个事实,并将光速不变作为一个基本假设放入它的新理论中。这个新理论就是后来大名鼎鼎的狭义相对论。

狭义相对论建立在两大基本假设之上,其中一个是相对性原理,即要求物理定律不依赖于任何具体的惯性参考系。所以的惯性参考系均是平权的。第二个假设就是光速不变。但非常奇妙的是,人们发现这两个看似简单的基本假设要同时满足的话,必须付出非常巨大的代价。因为这两个假设在牛顿的绝对时空下是互相矛盾的。所以如果它们两者都对的话,就一定意味着时间和空间不再是以前那种绝对的物理对象了。我们必须建立全新的时空。

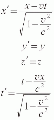
三. 光速不变带来的时空观

如果我们用一种叫做洛伦兹变换的数学工具来代替牛顿时期的伽利略变换。那么爱因斯坦提出的两大基本假设就可以同时得到满足。

 

图二:惯性参考系的洛伦兹变换

但代价是,在不同的惯性参考系中长度不再是不变的了。时间的流逝速度也不再是一样的了。甚至在不同的地方,时间的先后顺序都不一样了。在一个参考系中A事件在B事件之后发生。换一个参考系,A事件就有可能在B事件之前发生。也就是说,未来会变成过去,过去会变成未来!

四. 如果超过光速会发生什么?

未来跟过去居然也是相对的。那这样依赖于时间顺序的因果律不是就完全乱套了吗?不过还好。如果我们观察得更细致一些,我们就会发现时间顺序的颠倒并不是一个普适情况,要发生过去和未来的颠倒需要满足一些前提条件。这个条件就是:如果两个观测者看两个事件A,B的发生先后顺序要颠倒的话,则要求这两个事件在时空上的间隔是一个类空间隔才行。

什么叫类空间隔呢?

图三:时空图

我们如果用时空图来表示我们这个世界,水平方向是我们的空间坐标,竖直方向是我们的时间坐标。那么光线运动的轨迹就一定处于一个45度倾角的圆锥中,这个时空图上的圆锥就叫做光锥。它把我们的时空分成了三部分,分别是:处在光锥内部的,叫做(关于原点的)类时间隔。处在光锥之上的,叫做(关于原点的)类光间隔,和处在光锥之外的,叫做(关于原点的)类空间隔。

类空间隔的一个特性我们刚刚说了:两个事件的时间先后顺序想要颠倒的,这两个事件必须处于类空间隔上。

类空间隔另一个的特性是:如果想从原点到达类空间隔的任何位置,那么运动速度必须要超过光速才行。

两个特性一结合我们就会发现:任何能量,物理和信息都不能超光速传播!为什么呢?因为如果有任何一种信息可以超过光速,那么它就可以从事件A到达事件A的类空区域上的一个事件B。而类空间隔的两个事件AB不具有绝对的过去和未来。这就使得从A,B既可以是对方的过去,又可以是对方的未来。而如果A,B之间还有超光速的信息往来。那么这就意味着我们可以从未来发送一些信息来影响过去了! 这样世界的因果律会瞬间土崩瓦解。

而这正是物理学家们如此固执地坚持任何信息一定不能超过光速传播的原因。


该文章在 2016/12/17 17:18:42 编辑过
关键字查询
相关文章
正在查询...
点晴ERP是一款针对中小制造业的专业生产管理软件系统,系统成熟度和易用性得到了国内大量中小企业的青睐。
点晴PMS码头管理系统主要针对港口码头集装箱与散货日常运作、调度、堆场、车队、财务费用、相关报表等业务管理,结合码头的业务特点,围绕调度、堆场作业而开发的。集技术的先进性、管理的有效性于一体,是物流码头及其他港口类企业的高效ERP管理信息系统。
点晴WMS仓储管理系统提供了货物产品管理,销售管理,采购管理,仓储管理,仓库管理,保质期管理,货位管理,库位管理,生产管理,WMS管理系统,标签打印,条形码,二维码管理,批号管理软件。
点晴免费OA是一款软件和通用服务都免费,不限功能、不限时间、不限用户的免费OA协同办公管理系统。
Copyright 2010-2026 ClickSun All Rights Reserved  粤ICP备13012886号-2  粤公网安备44030602007207号